Notatki z ćwiczeń 18

Nasza ocena:

3
Pobrań: 35
Wyświetleń: 1029
Komentarze: 0
Notatek.pl

Pobierz ten dokument za darmo

Podgląd dokumentu
Notatki z ćwiczeń 18 - strona 1 Notatki z ćwiczeń 18 - strona 2

Fragment notatki:

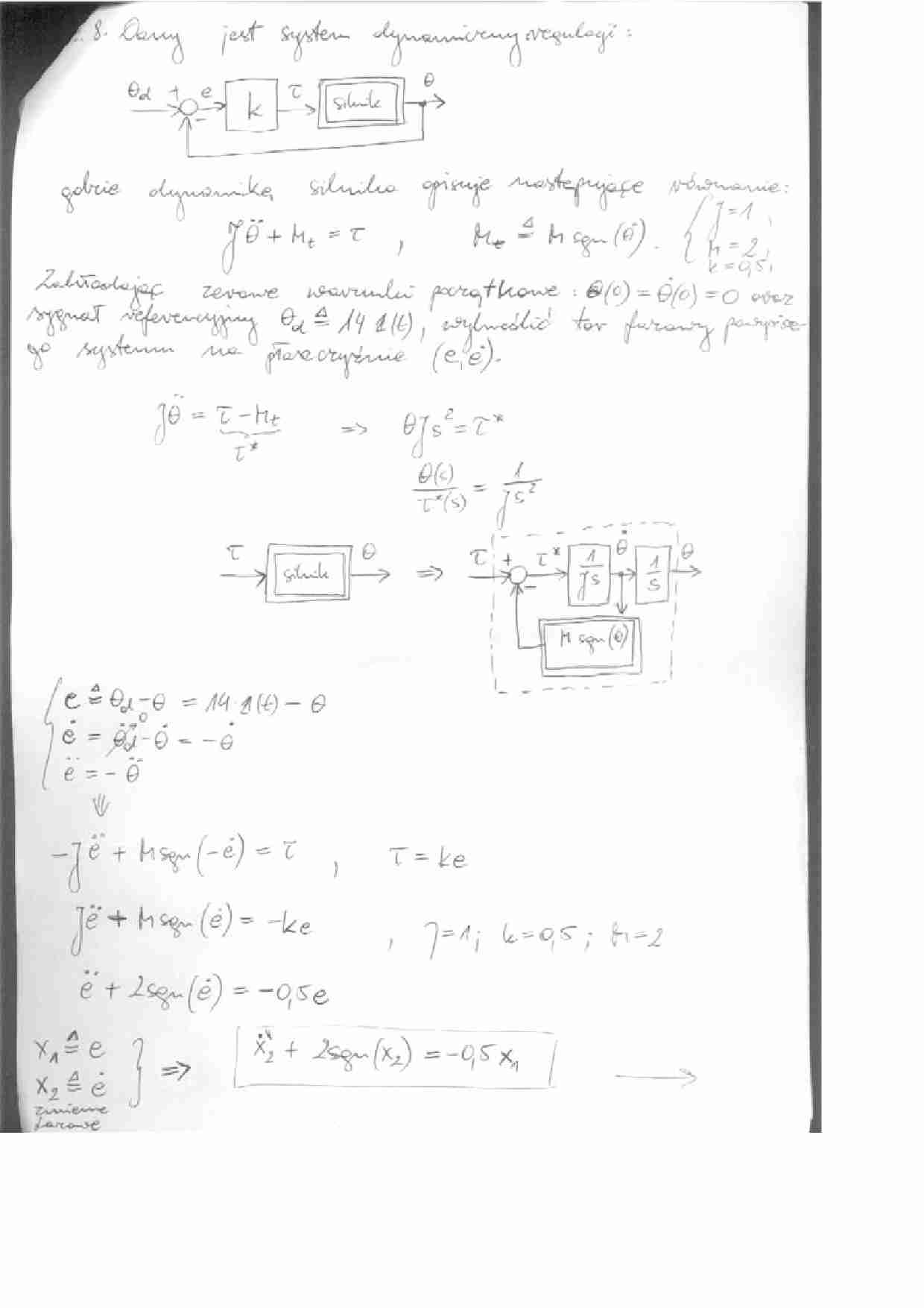
Notatka porusza między innymi zagadnienia takie jak: Zad. 8 Dany jest system dynamiczny regulacji, gdzie dynamikę silnika opisuje następujące równanie: X. Zakładając zerowe warunki początkowe oraz sygnał referencyjny, wykreślic tor fazowy systemy na płaszczyźnie, obliczenia. ... zobacz całą notatkę



Komentarze użytkowników (0)

Zaloguj się, aby dodać komentarz