Notatki z ćwiczeń 12

Nasza ocena:

3
Pobrań: 49
Wyświetleń: 1127
Komentarze: 0
Notatek.pl

Pobierz ten dokument za darmo

Podgląd dokumentu
Notatki z ćwiczeń 12 - strona 1 Notatki z ćwiczeń 12 - strona 2

Fragment notatki:

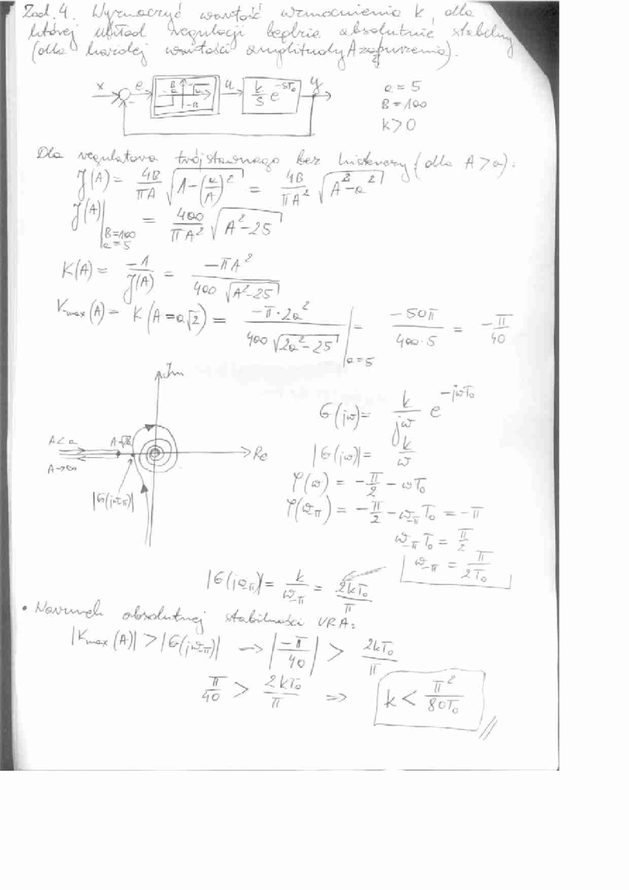
Notatka porusza między innymi zagadnienia takie jak: Zad. 4 Wyznaczyć wartość wzmocnienia k dla której układ regulacji będzie absolutnie stabilny ( dla każdej wartości amplitudy A zaburzenia), dla regulatora trójstawowego bez histerezy,warunek absolutnej stabilności URA, obliczenia. ... zobacz całą notatkę



Komentarze użytkowników (0)

Zaloguj się, aby dodać komentarz