Modele matematyczne w fizyce

Nasza ocena:

3
Pobrań: 70
Wyświetleń: 756
Komentarze: 0
Notatek.pl

Pobierz ten dokument za darmo

Podgląd dokumentu
Modele matematyczne w fizyce - strona 1

Fragment notatki:

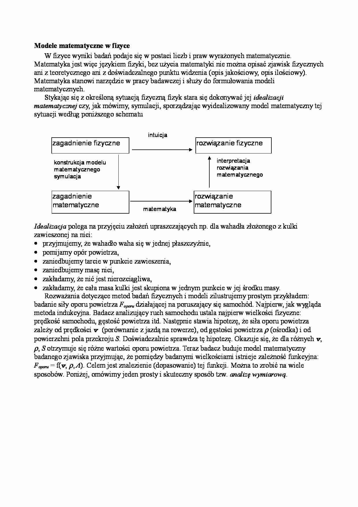
Modele matematyczne w fizyce W fizyce wyniki badań podaje się w postaci liczb i praw wyrażonych matematycznie.  Matematyka jest więc językiem fizyki, bez użycia matematyki nie można opisać zjawisk fizycznych  ani z teoretycznego ani z doświadczalnego punktu widzenia (opis jakościowy, opis ilościowy).  Matematyka stanowi narzędzie w pracy badawczej i służy do formułowania modeli  matematycznych. Stykając się z określoną sytuacją fizyczną fizyk stara się dokonywać jej  idealizacji  matematycznej  czy, jak mówimy, symulacji, sporządzając wyidealizowany model matematyczny tej  sytuacji według poniższego schematu Idealizacja  polega na przyjęciu założeń upraszczających np. dla wahadła złożonego z kulki  zawieszonej na nici: • przyjmujemy, że wahadło waha się w jednej płaszczyźnie, • pomijamy opór powietrza, • zaniedbujemy tarcie w punkcie zawieszenia, • zaniedbujemy masę nici, • zakładamy, że nić jest nierozciągliwa, • zakładamy, że cała masa kulki jest skupiona w jednym punkcie w jej środku masy. Rozważania dotyczące metod badań fizycznych i modeli zilustrujemy prostym przykładem:  badanie siły oporu powietrza  Foporu  działającej na poruszający się samochód. Najpierw, jak wygląda  metoda indukcyjna. Badacz analizujący ruch samochodu ustala najpierw wielkości fizyczne:  prędkość samochodu, gęstość powietrza itd. Następnie stawia hipotezę, że siła oporu powietrza  zależy od prędkości  v  (porównanie z jazdą na rowerze), od gęstości powietrza  ρ (ośrodka) i od  powierzchni pola przekroju  S . Doświadczalnie sprawdza tę hipotezę. Okazuje się, że dla różnych  v ,  ρ,  S  otrzymuje się różne wartości oporu powietrza. Teraz badacz buduje model matematyczny  badanego zjawiska przyjmując, że pomiędzy badanymi wielkościami istnieje zależność funkcyjna:  Foporu  = f( v ,  ρ,  A ). Celem jest znalezienie (dopasowanie) tej funkcji. Można to zrobić na wiele  sposobów. Poniżej, omówimy jeden prosty i skuteczny sposób tzw.  analizę   wymiarową . zagadnienie fizyczne rozwiązanie fizyczne zagadnienie matematyczne rozwiązanie matematyczne intuicja konstrukcja modelu matematycznego symulacja matematyka interpretacja rozwiązania matematycznego Document Outline Modele matematyczne w fizyce ... zobacz całą notatkę



Komentarze użytkowników (0)

Zaloguj się, aby dodać komentarz