Model przedsiębiorczości strategicznej - omówienie

Nasza ocena:

3
Pobrań: 203
Wyświetleń: 749
Komentarze: 0
Notatek.pl

Pobierz ten dokument za darmo

Podgląd dokumentu
Model przedsiębiorczości strategicznej - omówienie - strona 1 Model przedsiębiorczości strategicznej - omówienie - strona 2

Fragment notatki:

Model przedsiębiorczości strategicznej
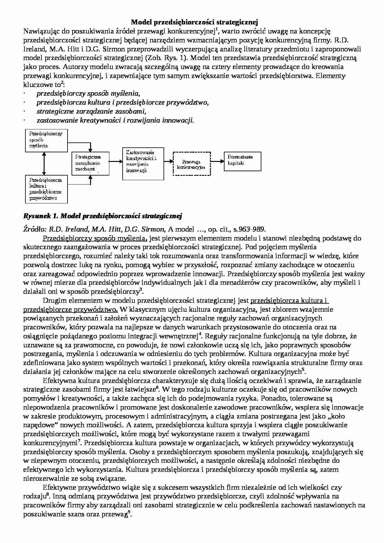
Nawiązując do poszukiwania źródeł przewagi konkurencyjnej1, warto zwrócić uwagę na koncepcję przedsiębiorczości strategicznej będącej narzędziem wzmacniającym pozycję konkurencyjną firmy. R.D. Ireland, M.A. Hitt i D.G. Sirmon przeprowadzili wyczerpującą analizę literatury przedmiotu i zaproponowali model przedsiębiorczości strategicznej (Zob. Rys. 1). Model ten przedstawia przedsiębiorczość strategiczną jako proces. Autorzy modelu zwracają szczególną uwagę na cztery elementy prowadzące do kreowania przewagi konkurencyjnej, i zapewniające tym samym zwiększanie wartości przedsiębiorstwa. Elementy kluczowe to2:
·      przedsiębiorczy sposób myślenia,
·      przedsiębiorcza kultura i przedsiębiorcze przywództwo,
·      strategiczne zarządzanie zasobami,
·      zastosowanie kreatywności i rozwijania innowacji.
  Rysunek 1. Model przedsiębiorczości strategicznej
Źródło: R.D. Ireland, M.A. Hitt, D.G. Sirmon, A model …, op. cit., s.963-989.
          Przedsiębiorczy sposób myślenia, jest pierwszym elementem modelu i stanowi niezbędną podstawę do skutecznego zaangażowania w proces przedsiębiorczości strategicznej. Pod pojęciem myślenia przedsiębiorczego, rozumieć należy taki tok rozumowania oraz transformowania informacji w wiedzę, które pozwolą dostrzec lukę na rynku, pomogą wybiec w przyszłość, rozpoznać zmiany zachodzące w otoczeniu oraz zareagować odpowiednio poprzez wprowadzenie innowacji. Przedsiębiorczy sposób myślenia jest ważny w równej mierze dla przedsiębiorców indywidualnych jak i dla menadżerów czy pracowników, aby myśleli i działali oni w sposób przedsiębiorczy3.           Drugim elementem w modelu przedsiębiorczości strategicznej jest przedsiębiorcza kultura i przedsiębiorcze przywództwo. W klasycznym ujęciu kultura organizacyjna, jest zbiorem wzajemnie powiązanych przekonań i założeń wyznaczających racjonalne reguły zachowań organizacyjnych pracowników, który pozwala na najlepsze w danych warunkach przystosowanie do otoczenia oraz na osiągnięcie pożądanego poziomu integracji wewnętrznej4. Reguły racjonalne funkcjonują na tyle dobrze, że uznawane są za prawomocne, co powoduje, że nowi członkowie uczą się ich, jako poprawnych sposobów postrzegania, myślenia i odczuwania w odniesieniu do tych problemów. Kultura organizacyjna może być zdefiniowana jako system wspólnych wartości i przekonań, który określa rozwiązania strukturalne firmy oraz działania jej członków mające na celu stworzenie określonych zachowań organizacyjnych5.
          Efektywna kultura przedsiębiorcza charakteryzuje się dużą ilością oczekiwań i sprawia, że zarządzanie strategiczne zasobami firmy jest łatwiejsze

(…)

…. Camp, D.L. Sexton, (eds.), Strategic entrepreneurship: creating a new mindset, Blackwell Publishers, Oxford 2002, s. 309-327.
4 Autor wyróżnia trzy poziomy kultury organizacyjnej: artefakty, wartości i normy, oraz założenia. Zob. E.H. Schein, Organizational culture and leadership, Jossey-Bass, San Francisco 1986, s. 12.
5 G.G. Dess, J.C. Picken, Beyond productivity: how leading companies achieve superior performance by leveraging their human capital, AMACOM, New York 1999.
6 R.D. Ireland et al., op. cit., s. 970.
7 R.M. McGrath, I.C. MacMillan, The entrepreneurial mindset, Harvard Business School Press, Boston 2000.
8 C.M. Daily, P.P. McDougall, J.G. Covin, D.R. Dalton, Governance and strategic leadership in entrepreneurial firms, “Journal of Management”, vol. 28, 2002, s.387-412.
9 J.G. Covin…
… et al., op. cit., s. 973.
14 J.A. Schumpeter, The theory of economic development, Harvard University Press, Cambridge 1934.
15 M.L. Tushman, C.A. O'Reilly, Ambidextrous organizations: managing evolutionary and revolutionary change, “California Management Review”, vol. 38, no. 4, 1996, s.8-30.
16 C.M. Christensen, The innovator's dilemma, Harvard Business School Press, Boston 1997.
17 A. Jasińska…
... zobacz całą notatkę



Komentarze użytkowników (0)

Zaloguj się, aby dodać komentarz