Moc podgrzewacza pojemnościowego

Nasza ocena:

3
Pobrań: 35
Wyświetleń: 1344
Komentarze: 0
Notatek.pl

Pobierz ten dokument za darmo

Podgląd dokumentu
Moc podgrzewacza pojemnościowego - strona 1 Moc podgrzewacza pojemnościowego - strona 2

Fragment notatki:

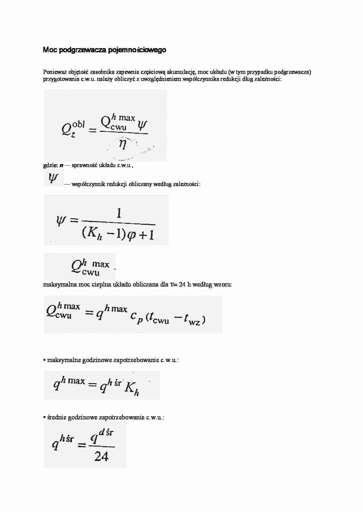
Moc podgrzewacza pojemno ś ciowego    Ponieważ objętość zasobnika zapewnia częściową akumulację, moc układu (w tym przypadku podgrzewacza)  przygotowania c.w.u. należy obliczyć z uwzględnieniem współczynnika redukcji dług zależności:      gdzie:  n  — sprawność układu c.w.u.,   — współczynnik redukcji obliczany według zależności:          maksymalna moc cieplna układu obliczana dla T= 24 h według wzoru:              • maksymalne godzinowe zapotrzebowanie c.w.u.:          • średnie godzinowe zapotrzebowanie c.w.u.:      •  średnie dobowe zapotrzebowanie c.w.u.:      •  zapotrzebowanie jednostkowe według PN 92/B-O1706:      Dob ó r podgrzewacza pojemno ś ciowego c.w.u.  Dobierając podgrzewacz pojemnościowy, należy postępować zgodnie z przedstawionym algoryt mem.  W doborze zasobnika należy uwzględnić:  tzas temperaturę zasilania układu przygotowania c.w.u., rozumianą jako minimalną występującą na  zasilaniu podgrzewacza w czasie pracy kotłowni,  tcwu ~ temperaturę wymaganą wody ciepłej na wyjściu z zasobnika,  twz - temperaturę wody zimnej.  Podgrzewacz pojemnościowy dobieramy na obliczoną moc  Q°bl.  Moc oblicza się dla założonego  współczynnika akumulacji w układzie z zakresu  - =  0,15-0,35. Dla wybranego podgrzewacza  odczytuje się rzeczywistą objętość zasobnika  V™.  Następnie dokonuje się sprawdzenia poprawności  doboru urządzenia, czyli dla dobranego urządzenia obliczamy rzeczywisty współczynnik akumulacji  oraz współczynnik redukcji. Pozwala on wyznaczyć wymaganą w warunkach rzeczywistych moc  układu przygotowania c.w.u. Ostatnim krokiem jest sprawdzenie czy moc ta jest mniejsza niż moc  dobranego podgrzewacza.     ... zobacz całą notatkę



Komentarze użytkowników (0)

Zaloguj się, aby dodać komentarz