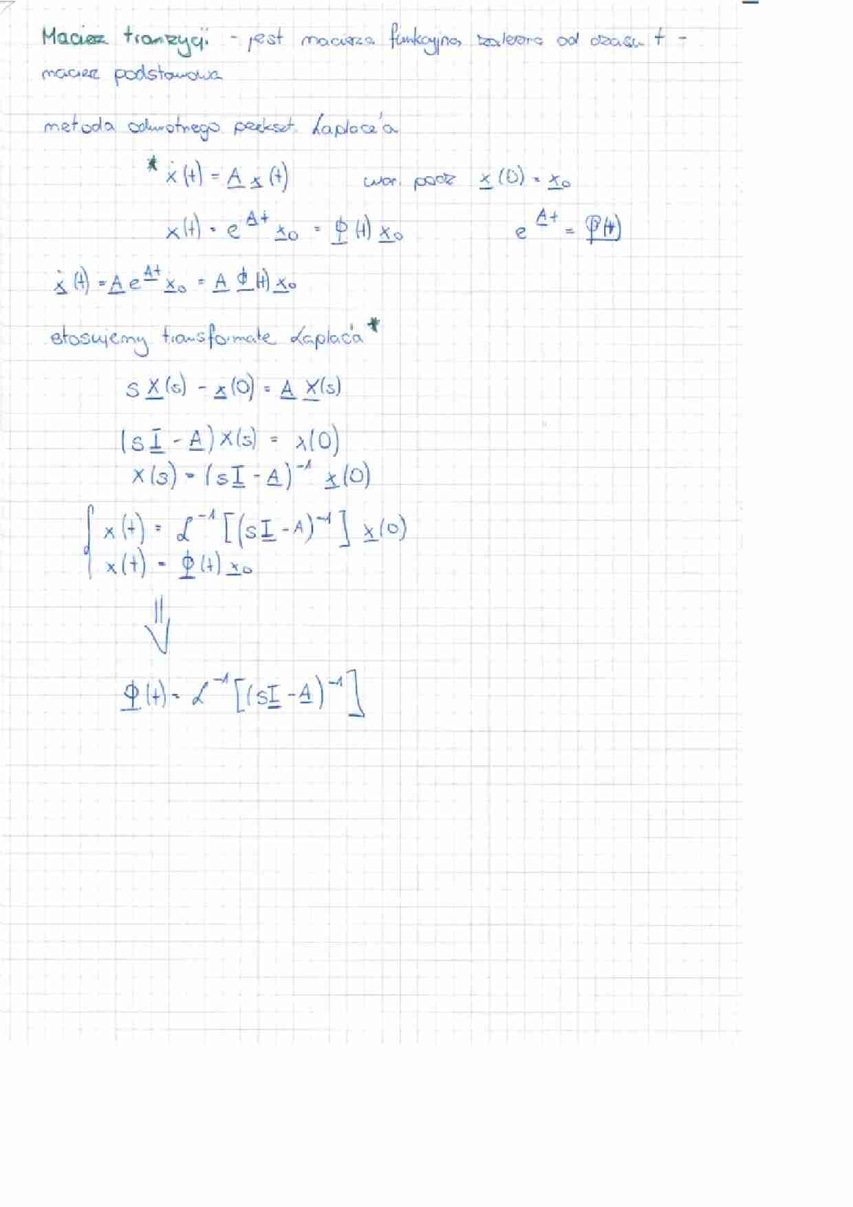
Macierz tranzycji -zadania na egzamin

Nasza ocena:

3
Pobrań: 28
Wyświetleń: 532
Komentarze: 0
Notatek.pl

Pobierz ten dokument za darmo

Podgląd dokumentu
Macierz tranzycji -zadania na egzamin - strona 1 Macierz tranzycji -zadania na egzamin - strona 2

Fragment notatki:

Notatka porusza między innymi takie zagadnienia jak:
macierz tranzycji, macierz funkcyjna, metoda odwrotnego przekształcenia, transformacja Laplaca, macierz podstawowa. ... zobacz całą notatkę



Komentarze użytkowników (0)

Zaloguj się, aby dodać komentarz