logika itp

Nasza ocena:

3
Pobrań: 273
Wyświetleń: 3843
Komentarze: 0
Notatek.pl

Pobierz ten dokument za darmo

Podgląd dokumentu
logika itp - strona 1

Fragment notatki:

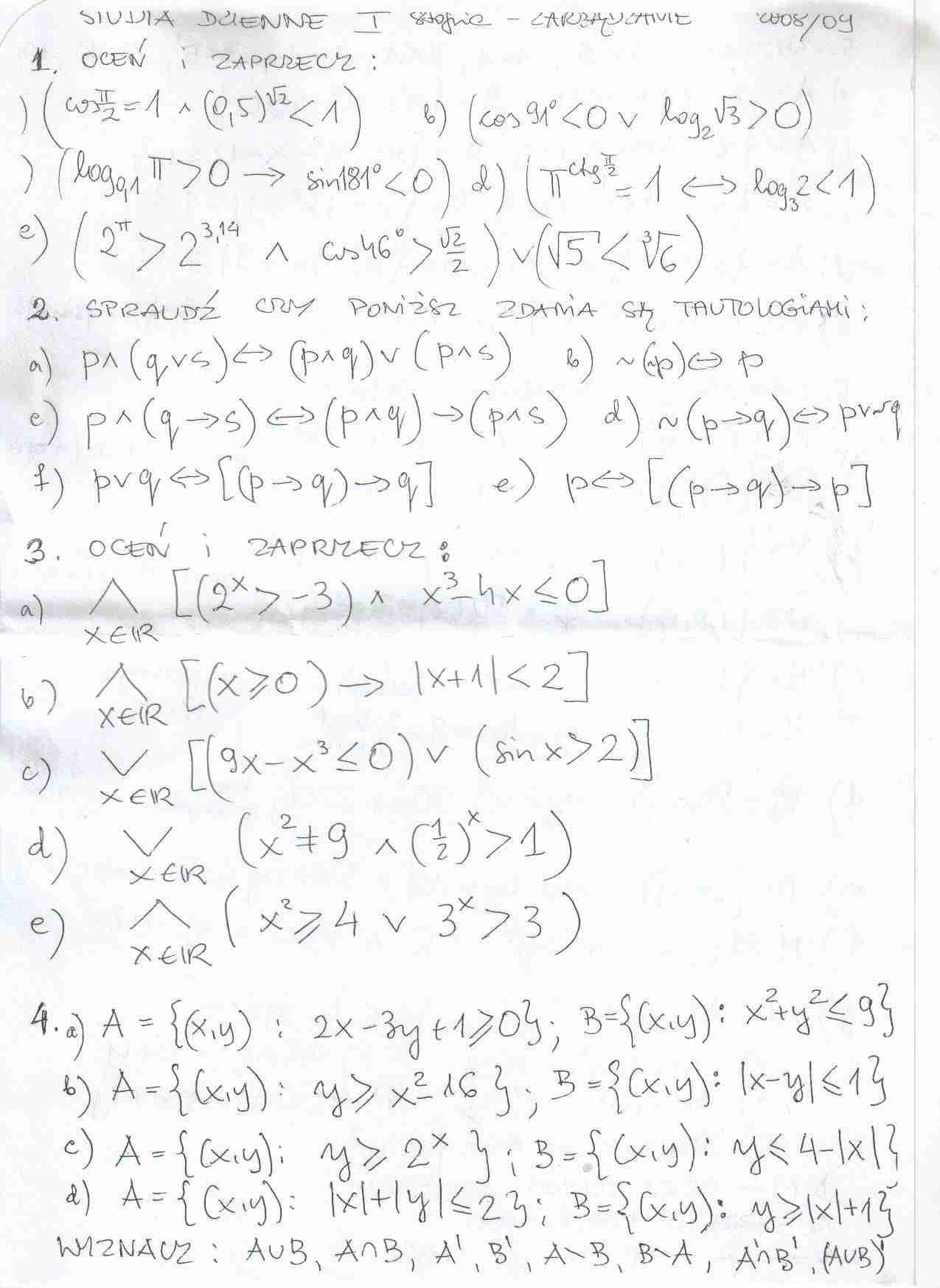
W środku znajdziecie przykładowe pytania z logiki: oceń i zaprzecz, czy poniższe zdania są tautologiami, wyznacz sumę zbiorów, wyznacz iloczyn zbiorów, narysuj wykres relacji.
... zobacz całą notatkę



Komentarze użytkowników (0)

Zaloguj się, aby dodać komentarz