Kinematyka punktu - zadania

Nasza ocena:

3
Pobrań: 161
Wyświetleń: 910
Komentarze: 0
Notatek.pl

Pobierz ten dokument za darmo

Podgląd dokumentu
Kinematyka punktu - zadania - strona 1 Kinematyka punktu - zadania - strona 2 Kinematyka punktu - zadania - strona 3

Fragment notatki:


Kinematyka punktu Zadanie 1 Wyznaczyć równanie toru punktu, gdy: x = hcos2ωt, y = hcosωt. h[m], ω[1/s]  stałe, t[s]  czas. Ze wzoru trygonometrycznego: cos2t = cos 2 t  sin 2 t
z „1  ki” trygonometrycznej: sin 2 t + cos 2 t = 1 → sin 2 t = 1  cos 2 t
czyli: cos2t = cos 2 t  (1  cos 2 t) = 2cos 2 t  1 → x = h(2cos 2 t  1)
y = hcost → cost → cos 2 t i podstawiamy do wzoru na x:
x = h(2  1)  równanie toru. Zadanie 1a Równanie ruchu punktu A ma postać: x(t) = t 3  2t 2  4t + 10; x[m], t[s]. Wyznaczyć położenie punktu na osi x i jego przyspieszenie w chwili, gdy jego prędkość V = 0[m/s].
3t 2  4t  4
V = 0 → 3t 2  4t  4 = 0 , Δ = (4) 2  43(4) = 64 → Oczywiście przyjmujemy pierwszą odpowiedź i liczymy :
= 2 3  22 2  42 + 10 = 2 [m].
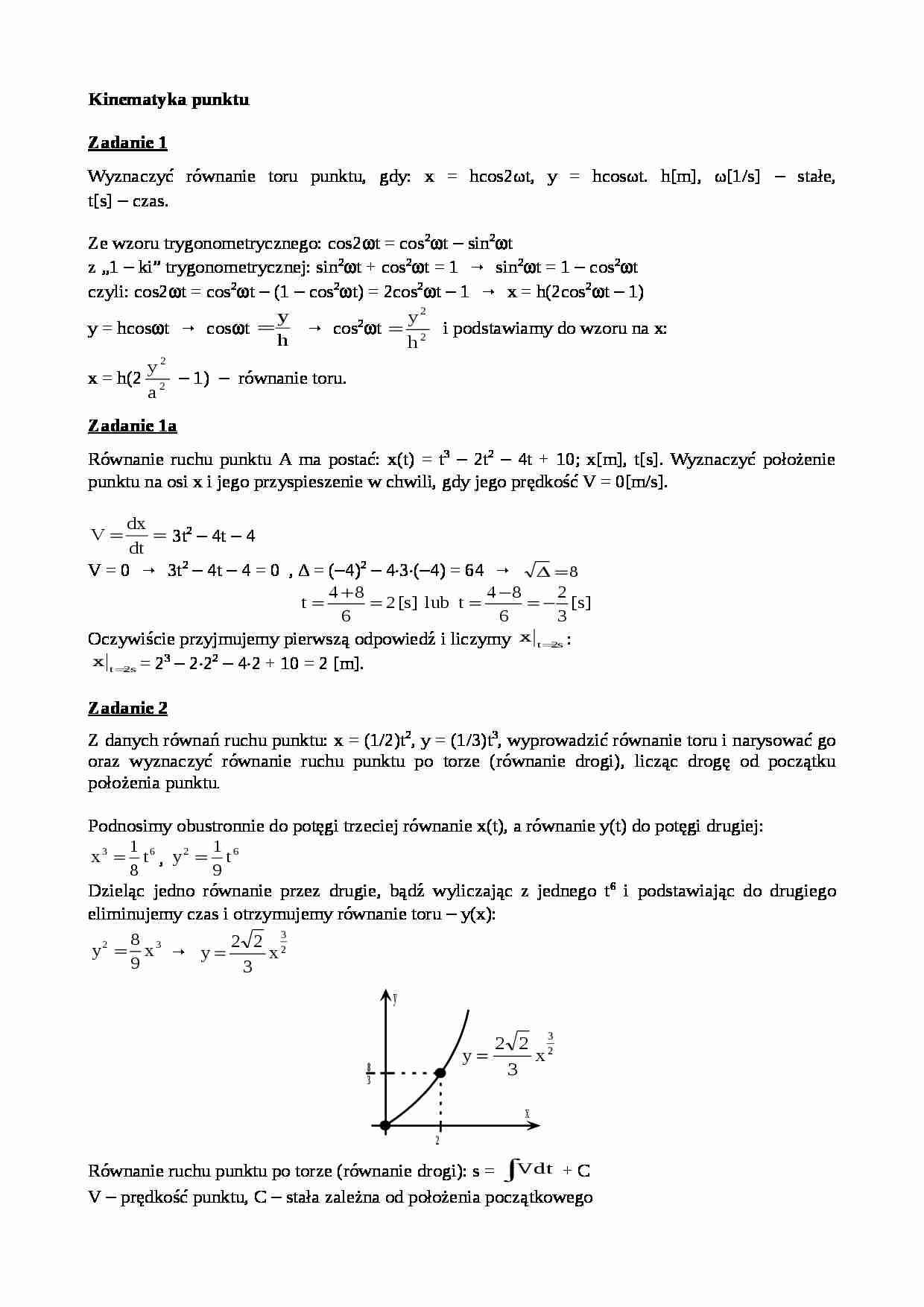
Zadanie 2 Z danych równań ruchu punktu: x = (1/2)t 2 , y = (1/3)t 3 , wyprowadzić równanie toru i narysować go oraz wyznaczyć równanie ruchu punktu po torze (równanie drogi), licząc drogę od początku położenia punktu.
Podnosimy obustronnie do potęgi trzeciej równanie x(t), a równanie y(t) do potęgi drugiej:
, Dzieląc jedno równanie przez drugie, bądź wyliczając z jednego t 6 i podstawiając do drugiego eliminujemy czas i otrzymujemy równanie toru  y(x):
→ Równanie ruchu punktu po torze (równanie drogi): s = + C
V  prędkość punktu, C  stała zależna od położenia początkowego , , → [m/s]
s = + C = + C
W położeniu początkowym = 0, czyli: → Równanie drogi: [m]. Zadanie 2a Ruch punktu A jest dany w postaci: x = 3cos2t, y = 3sin2t, x[m], y[m], t[s]. Wyznacz:
a) tor punktu, b) współrzędne prędkości, wektor prędkości i moduł (wartość) prędkości. c) współrzędne przyspieszenia, wektor przyspieszenia i moduł (wartość) przyspieszenia. d) równanie ruchu po torze.
a) korzystamy z „1  ki” trygonometrycznej, co daje równanie: wobec tego: → → torem jest okrąg o środku w punkcie (0,0) i promieniu r = 3.
b) [m/s] , [m/s]
c) [m/s 2 ], [m/s 2 ]
Równanie ruchu punktu po torze (równanie drogi): s = + C C  stała zależna od położenia początkowego
podstawiamy: V = 6 [m/s] i otrzymujemy: s = + C = 6t + C
= 0 → C = 0, stąd ostatecznie: s = 6t [m].


(…)

… A jest przesuwana po pręcie za pomocą linki przerzuconej przez mały krążek B odległy od pręta o wielkość OB = b. Wyznaczyć wzór na prędkość i przyspieszenie tulejki w funkcji odległości OA = x, jeśli swobodny koniec linki jest ciągnięty ze stałą prędkością V0.
, .
Zadanie 6
Ruch punktu określony jest równaniem x(V) = bV2  c. Po jakim czasie prędkość punktu będzie dwa razy większa od prędkości początkowej
... zobacz całą notatkę



Komentarze użytkowników (0)

Zaloguj się, aby dodać komentarz