Funkcje dwóch zmiennych — rachunek różniczkowy

Nasza ocena:

5
Pobrań: 35
Wyświetleń: 945
Komentarze: 0
Notatek.pl

Pobierz ten dokument za darmo

Podgląd dokumentu
Funkcje dwóch zmiennych — rachunek różniczkowy - strona 1

Fragment notatki:

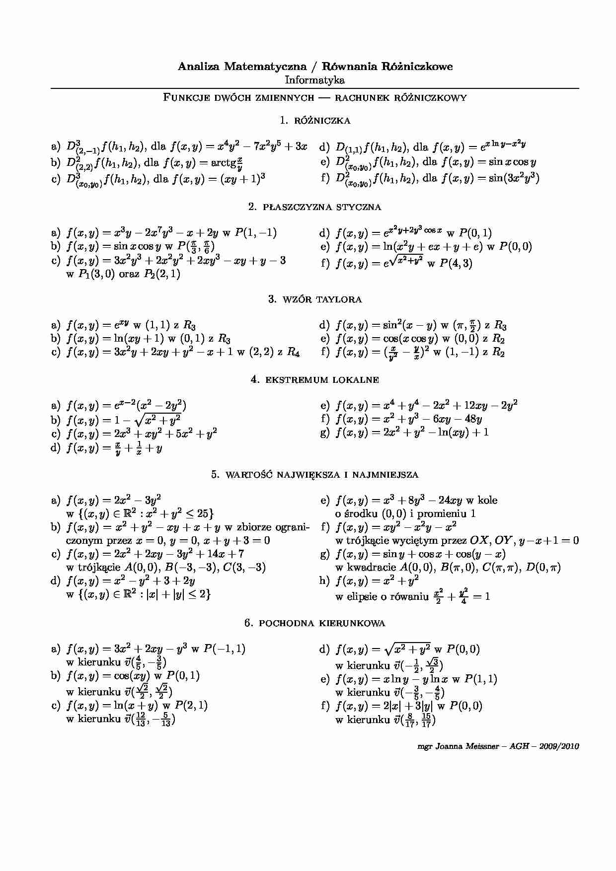
Analiza Matematyczna / Równania Różniczkowe Informatyka Funkcje dwóch zmiennych — rachunek różniczkowy 1. różniczka a) D3 (2,−1)f (h1, h2), dla f (x, y) = x 4y2 − 7x2y5 + 3x b) D2 (2,2)f (h1, h2), dla f (x, y) = arctg x y c) D3 (x0,y0)f (h1, h2), dla f (x, y) = (xy + 1) 3 d) D(1,1)f(h1, h2), dla f(x, y) = ex ln y−x 2y e) D2 (x0,y0)f (h1, h2), dla f (x, y) = sin x cos y f) D2 (x0,y0)f (h1, h2), dla f (x, y) = sin(3x 2y3) 2. płaszczyzna styczna a) f (x, y) = x3y − 2x7y3 − x + 2y w P (1, −1) b) f (x, y) = sin x cos y w P ( π 3 , π 6 ) c) f (x, y) = 3x2y3 + 2x2y2 + 2xy3 − xy + y − 3 w P1(3, 0) oraz P2(2, 1) d) f (x, y) = ex 2y+2y3 cos x w P (0, 1) e) f (x, y) = ln(x2y + ex + y + e) w P (0, 0) f) f (x, y) = e √ x2+y2 w P (4, 3) 3. wzór taylora a) f (x, y) = exy w (1, 1) z R3 b) f (x, y) = ln(xy + 1) w (0, 1) z R3 c) f (x, y) = 3x2y + 2xy + y2 − x + 1 w (2, 2) z R4 d) f (x, y) = sin2(x − y) w (π, π 2 ) z R3 e) f (x, y) = cos(x cos y) w (0, 0) z R2 f) f (x, y) = ( x y2 − y x ) 2 w (1, −1) z R2 4. ekstremum lokalne a) f (x, y) = ex−2(x2 − 2y2) b) f (x, y) = 1 − x2 + y2 c) f (x, y) = 2x3 + xy2 + 5x2 + y2 d) f (x, y) = x y + 1 x + y e) f (x, y) = x4 + y4 − 2x2 + 12xy − 2y2 f) f (x, y) = x2 + y3 − 6xy − 48y g) f (x, y) = 2x2 + y2 − ln(xy) + 1 5. wartość największa i najmniejsza a) f (x, y) = 2x2 − 3y2 w {(x, y) ∈ R2 : x2 + y2 ≤ 25} b) f (x, y) = x2 + y2 − xy + x + y w zbiorze ograni- czonym przez x = 0, y = 0, x + y + 3 = 0 c) f (x, y) = 2x2 + 2xy − 3y2 + 14x + 7 w trójkącie A(0, 0), B(−3, −3), C(3, −3) d) f (x, y) = x2 − y2 + 3 + 2y w {(x, y) ∈ R2 : |x| + |y| ≤ 2} e) f (x, y) = x3 + 8y3 − 24xy w kole o środku (0, 0) i promieniu 1 f) f (x, y) = xy2 − x2y − x2 w trójkącie wyciętym przez OX, OY , y −x+1 = 0 g) f (x, y) = sin y + cos x + cos(y − x) w kwadracie A(0, 0), B(π, 0), C(π, π), D(0, π) h) f (x, y) = x2 + y2 w elipsie o rówaniu x 2 2 + y2 4 = 1 6. pochodna kierunkowa a) f (x, y) = 3x2 + 2xy − y3 w P (−1, 1) w kierunku v( 4 5 , − 3 5 ) b) f (x, y) = cos(xy) w P (0, 1) w kierunku v( √ 2 2 , √ 2 2 ) c) f (x, y) = ln(x + y) w P (2, 1) w kierunku v( 12 13 , − 5 13 ) d) f (x, y) = x2 + y2 w P (0, 0) w kierunku v(− 1

(…)

… (x, y) = x2 + y 2 w P (0, 0)

w kierunku v( 4 , − 3 )
5 5 w kierunku v(− 2 , 23 )
1
b) f (x, y) = cos(xy) w P (0, 1)
√ √ e) f (x, y) = x ln y − y ln x w P (1, 1)
w kierunku v( 22 , 22 ) w kierunku v(− 5 , − 4 )
3
5
c) f (x, y) = ln(x + y) w P (2, 1) f) f (x, y) = 2|x| + 3|y| w P (0, 0)
w kierunku v( 12 , − 13 )
13
5 8 15
w kierunku v( 17 , 17 )
mgr Joanna Meissner – AGH – 2009/2010
Analiza…
... zobacz całą notatkę



Komentarze użytkowników (0)

Zaloguj się, aby dodać komentarz