Finanse jako nauka-oparcowanie

Nasza ocena:

3
Pobrań: 77
Wyświetleń: 686
Komentarze: 0
Notatek.pl

Pobierz ten dokument za darmo

Podgląd dokumentu
Finanse jako nauka-oparcowanie - strona 1 Finanse jako nauka-oparcowanie - strona 2 Finanse jako nauka-oparcowanie - strona 3

Fragment notatki:

Finanse jako nauka - przedmiot i metoda
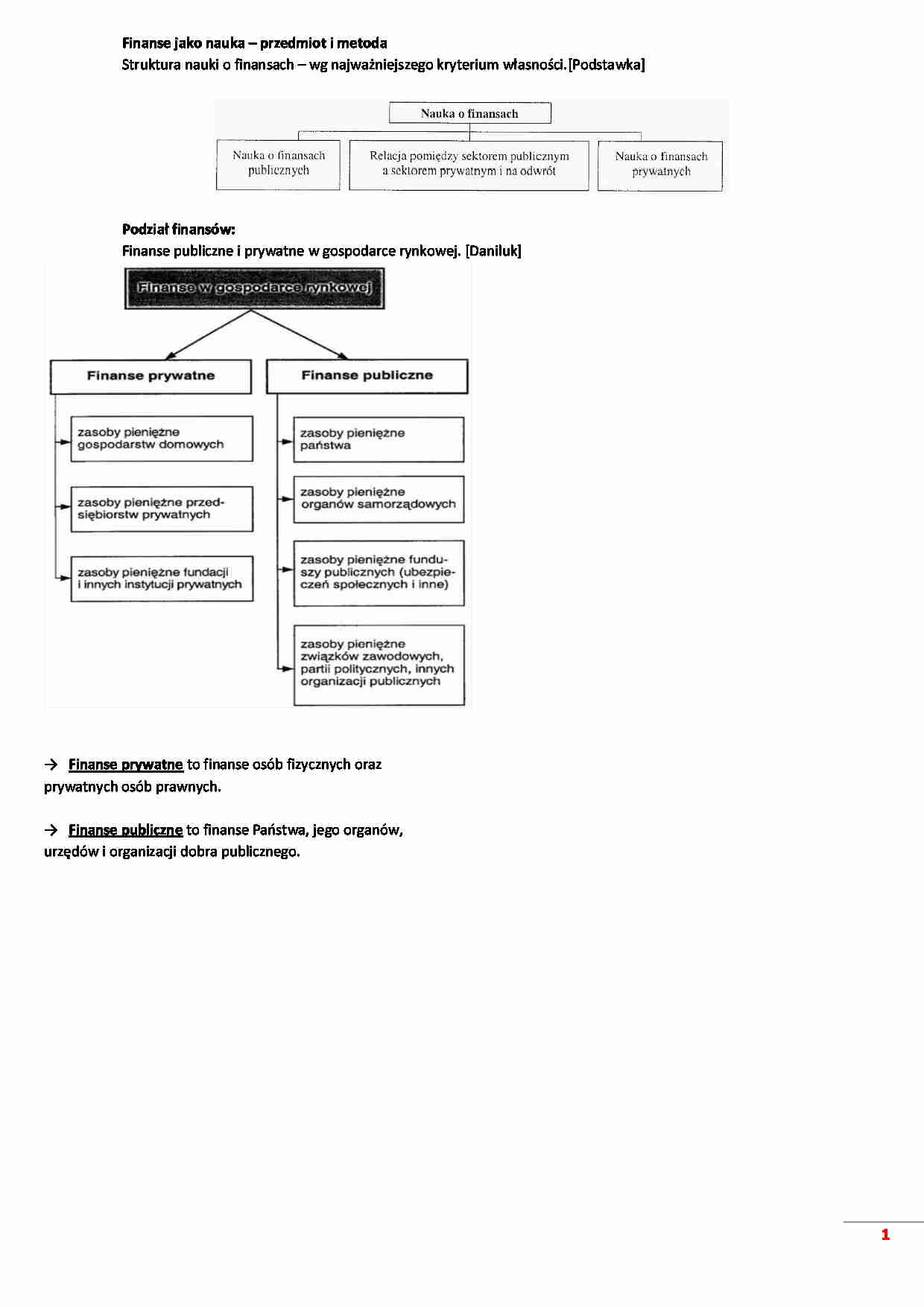
Struktura nauki o finansach - wg najważniejszego kryterium własności. [Podstawka] Podział finansów:
Finanse publiczne i prywatne w gospodarce rynkowej. [Daniluk] → Finanse prywatne to finanse osób fizycznych oraz prywatnych osób prawnych. → Finanse publiczne to finanse Państwa, jego organów, urzędów i organizacji dobra publicznego.
Wyróżniamy cztery rodzaje kryteriów podziału finansów: Przedmiotowe
Podmiotowe (system: ubezpieczeń, emerytalny, bankowy, skarbowy(fiskalny), inne)
Instrumentalne Funduszowe → Przedmiotowa systematyka finansów - przedstawia funkcjonalne cechy pieniądza w procesie społeczno - gospodarczym.
→ Podmiotowa systematyka finansów - koncentruje się na instytucjach, które wykorzystują pieniądz do realizacji celów swojej działalności. Układ przedmiotowy - zjawiska pieniężne podzielone na trzy strumienie pieniężne: 1. Przychody i wydatki regulowane przez mechanizm rynkowy [transakcje] - Najszerszy strumień: kupno-sprzedaż towarów i usług - Pieniądz: funkcja transakcyjna (środek wymiany) - Ekwiwalentność wymiany - Operacje natychmiastowe (spot) i terminowe (forward) 2. Przychody i wydatki mające cechy przepływów redystrybucyjnych [transfery] (subwencja, dotacja)
3. Przychody i wydatki pieniężne kredytowe [pożyczki] - Kredyt jest instrumentem finansowym (bankowym) wprowadzającym do obiegu pieniądz - tzw. pieniądz bankowy. Układ podmiotowy - operacje pieniężne usystematyzowane wg instytucji gospodarczych o podobnych celach działalności i gospodarki finansowej: 1. Finanse przedsiębiorstw (państwowych, prywatnych, komunalnych, samorządowych, spółdzielczych)
2. Finanse publiczne (państwa, jako całości, urzędów państwowych i samorządowych) 3. Finanse ludności 4. Finanse banków (banków komercyjnych)
5. Finanse instytucji ubezpieczeniowych (ZUS, Towarzystwa Funduszy Emerytalnych i Ubezpieczeniowych)
6. Szereg wyspecjalizowanych instytucji finansowych, jak giełdy, domy maklerskie, instytucje konsultingowe i ratingowe, firmy pośrednictwa kredytowego, firmy leasingowe i inne. (Giełdy: Papierów Wartościowych, towarowe)
Dom maklerski - obowiązkowy pośrednik transakcji giełdowych na giełdzie papierów wartościowych
Instytucje konsultingowe -

(…)

… inwestycyjnym), badając prowadzoną przez nich działalność
Leasing - forma transakcji ratalnej, gdzie przedmiot leasingu jest własnością leasingodawcy do momentu spłacenia Klasyfikacja podmiotów w gospodarce rynkowej wg kryteriów finansów i rachunkowości - cz.1 [Daniluk] → Podmioty finansowe:
Bank centralny - bank emisyjny
Krajowe instytucje finansowe (banki komercyjne, poczta, giełda, domy maklerskie, firmy konsultingowe i ratingowe, kantory walutowe);
Instytucje ubezpieczeniowe;
Zagraniczne instytucje finansowe (obce w Polsce)
Międzynarodowe instytucje finansowe, np. Bank Światowy, AIG
Instytucje finansowe Unii Europejskiej (Europejski Bank Odbudowy i Rozwoju)
→ Podmioty niefinansowe: (zajmujące się finansami)
Podmioty gospodarcze (przedsiębiorstwa, spółdzielnie, osoby fizyczne prowadzące działalność gospodarczą…
… wschodniej)
Funkcje finansów:
1. Alokacyjna funkcja finansów: → Wykorzystywanie środków pieniężnych, zwłaszcza kapitału finansowego oraz różnych instrumentów finansowych, do alokacji zasobów w gospodarce 2. Redystrybucyjna funkcja finansów: → Za pomocą finansów dokonywana jest redystrybucja dochodów i wydatków na cele publiczne; → Redystrybucja - wtórny podział dochodów, które ukształtowały się w efekcie…
... zobacz całą notatkę



Komentarze użytkowników (0)

Zaloguj się, aby dodać komentarz