Ewidencja weksli obcych - omówienie (sem. II)

Nasza ocena:

3
Pobrań: 42
Wyświetleń: 686
Komentarze: 0
Notatek.pl

Pobierz ten dokument za darmo

Podgląd dokumentu
Ewidencja weksli obcych - omówienie (sem. II) - strona 1

Fragment notatki:

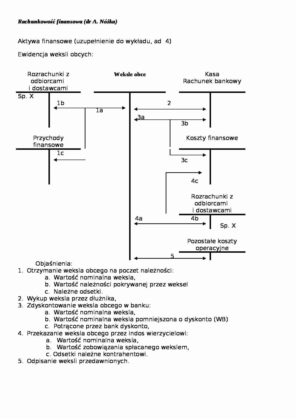
Rachunkowość finansowa (dr A. Nóżka)
Aktywa finansowe (uzupełnienie do wykładu, ad 4)
Ewidencja weksli obcych:
Rozrachunki z odbiorcami i dostawcami
Weksle obce
Kasa
Rachunek bankowy
Sp. X
1b
1a
3a
2
3b
Przychody finansowe
Koszty finansowe
1c
3c
4c
Rozrachunki z odbiorcami i dostawcami
4a
4b
Sp. X
Pozostałe koszty operacyjne
5
Objaśnienia:
Otrzymanie weksla obcego na poczet należności:
Wartość nominalna weksla,
Wartość należności pokrywanej przez weksel
Należne odsetki.
Wykup weksla przez dłużnika,
Zdyskontowanie weksla obcego w banku:
Wartość nominalna weksla,
Wartość nominalna weksla pomniejszona o dyskonto (WB)
Potrącone przez bank dyskonto,
Przekazanie weksla obcego przez indos wierzycielowi:
Wartość nominalna weksla,
Wartość zobowiązania spłacanego wekslem,
... zobacz całą notatkę



Komentarze użytkowników (0)

Zaloguj się, aby dodać komentarz