Estymacja przedziałowa

Nasza ocena:

3
Pobrań: 406
Wyświetleń: 2156
Komentarze: 0
Notatek.pl

Pobierz ten dokument za darmo

Podgląd dokumentu
Estymacja przedziałowa  - strona 1 Estymacja przedziałowa  - strona 2 Estymacja przedziałowa  - strona 3

Fragment notatki:


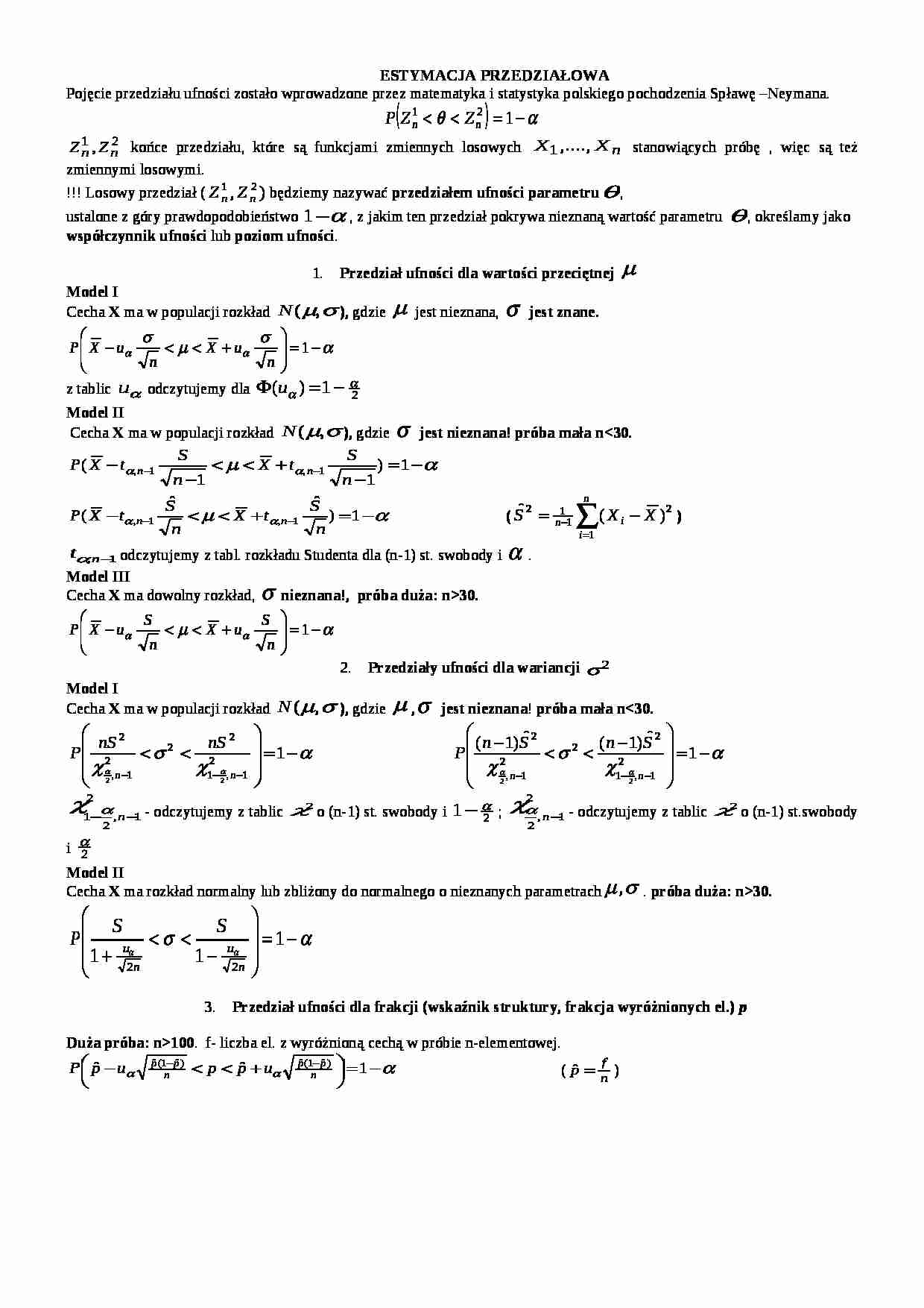
ESTYMACJA PRZEDZIAŁOWA Pojęcie przedziału ufności zostało wprowadzone przez matematyka i statystyka polskiego pochodzenia Spławę -Neymana.
końce przedziału, które są funkcjami zmiennych losowych stanowiących próbę , więc są też zmiennymi losowymi.
!!! Losowy przedział ( będziemy nazywać przedziałem ufności parametru , ustalone z góry prawdopodobieństwo , z jakim ten przedział pokrywa nieznaną wartość parametru , określamy jako współczynnik ufności lub poziom ufności .
Przedział ufności dla wartości przeciętnej Model I Cecha X ma w populacji rozkład ), gdzie jest nieznana, jest znane. z tablic odczytujemy dla Model II Cecha X ma w populacji rozkład ), gdzie jest nieznana! p róba mała n30. Przedziały ufności dla wariancji Model I Cecha X ma w populacji rozkład ), gdzie , jest nieznana ! próba mała n30. Przedział ufności dla frakcji (wskaźnik struktury, frakcja wyróżnionych el.) p Duża próba: n100 . f- liczba el. z wyróżnioną cechą w próbie n-elementowej. ( )
Zadania
Zad.1. Do napełnienia dwukilowych puszek farbą olejną używa się automatu dozującego. Z doświadczenia wynika, że rozkład dozowanych ilości farby jest normalny z odchyleniem standardowym wynoszącym 1,1 dag. Po ustawieniu automatu dokonano 9 losowych pomiarów wagi zawartości puszek i otrzymano wyniki: 200,8; 199,0; 198,6; 197,8; 200,2; 199; 200; 197; 198,6. Wyznaczyć przedział ufności dla nieznanej przeciętnej wagi farby dozowanej przez automat, przyjmując współczynnik ufności 0,95. Zad. 2. Na podstawie 64 losowo wybranych rozmów telefonicznych obliczono średnią długość rozmowy, która wyniosła 4,2 minuty. Z poprzednich badań wiadomo, że wariancja długości rozmów telefonicznych wynosi 1,44 minuty 2 . Zakładają, że czas rozmów ma rozkład normalny:
a) Oszacować przedziałowo średnią długość rozmowy telefonicznej na poziomie ufności 0,95 oraz 0,99. Porównać długości obu wyznaczonych przedziałów i wyjaśnić, w jaki sposób długość przedziału zależy od przyjętego poziomu ufności.
b) Wyznaczyć liczność próby n, dla której długość przedziału ufności na poziomie ufności 0,95 wynosi 0,1.


(…)

… wartość parametru , określamy jako współczynnik ufności lub poziom ufności.
Przedział ufności dla wartości przeciętnej Model I Cecha X ma w populacji rozkład ), gdzie jest nieznana, jest znane. z tablic odczytujemy dla Model II
Cecha X ma w populacji rozkład ), gdzie jest nieznana! próba mała n<30.
( )
odczytujemy z tabl. rozkładu Studenta dla (n-1) st. swobody i .
Model III Cecha X ma dowolny rozkład…
… z maksymalnym błędem szacunku nie przekraczającym d:
gdy można wstępnie oszacować wartość parametru p: gdzie jest wstępnym oszacowaniem p. gdy nie znamy rzędu wielkości szacowanego parametru p: .
Zadania
Zad.1. Ilu mieszkańców pewnego miasta należy wylosować niezależnie do próby, by oszacować procent mieszkańców tego miasta chorych na choroby reumatyczne, jeżeli przy szacowaniu tego procentu, który jest rzędu…
... zobacz całą notatkę



Komentarze użytkowników (0)

Zaloguj się, aby dodać komentarz