Elementy geometryczne osi trasy komunikacyjnej i metody ich tyczenia sytuacyjnego

Nasza ocena:

5
Pobrań: 1071
Wyświetleń: 5663
Komentarze: 0
Notatek.pl

Pobierz ten dokument za darmo

Podgląd dokumentu
Elementy geometryczne osi trasy komunikacyjnej i metody ich tyczenia sytuacyjnego - strona 1 Elementy geometryczne osi trasy komunikacyjnej i metody ich tyczenia sytuacyjnego - strona 2 Elementy geometryczne osi trasy komunikacyjnej i metody ich tyczenia sytuacyjnego - strona 3

Fragment notatki:

Elementy geometryczne osi trasy komunikacyjnej i metody ich tyczenia sytuacyjnego
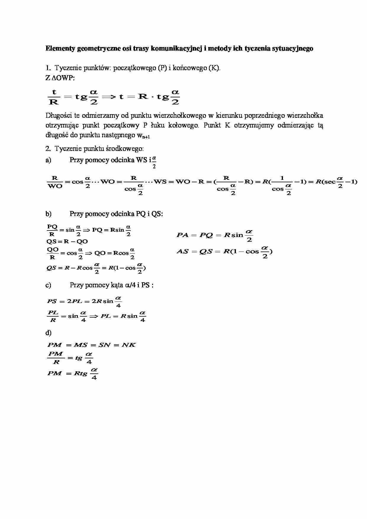
1. Tyczenie punktów: początkowego (P) i końcowego (K).
Z OWP:
t
α
α
 tg
 t  R  tg
R
2
2
Długości te odmierzamy od punktu wierzchołkowego w kierunku poprzedniego wierzchołka
otrzymując punkt początkowy P łuku kołowego. Punkt K otrzymujemy odmierzając tą
długość do punktu następnego wn+1
2. Tyczenie punktu środkowego:
a)
Przy pomocy odcinka WS i 
2
R
α
 cos  WO 
WO
2
b)
R
α
cos
2
R
α
cos
2
1
 R)  R(
cos
Przy pomocy odcinka PQ i QS:
PQ
α
α
 sin  PQ  Rsin
R
2
2
QS  R  QO
QO
α
α
 cos  QO  Rcos
R
2
2
QS  R  R cos
c)
 WS  WO  R  (

2
 R (1  cos
PA  PQ  R sin

2
)

4
PL


 sin
 PL  R sin
R
4
4
d)
PM  MS  SN  NK
PM

 tg
R
4
PM  Rtg

4
2
AS  QS  R (1  cos
Przy pomocy kąta /4 i PS :
PS  2 PL  2 R sin


2
)

2
 1)  R(sec

2
 1)
3. Tyczenie punktów pośrednich łuku kołowego
Punkty główne nie oddają wiernie przebiegu łuku w terenie w związku z tym punkty
te należy zagęścić punktami pośrednimi które można wytyczyć różnymi metodami.
1.
Metoda rzędnych i odciętych od stycznej
a)
Tyczenie od stycznej równych odcinków na stycznej
b)
Tyczenie od stycznej równych odcinków na łuku
c)
Tyczenie od cięciwy – stosuje się wtedy gdy punkt W oddzielony jest przeszkodą
(tyczenie punktów pośrednich od stycznych jest utrudnione). Cięciwę PK która jest
równoległa do stycznej w punkcie S, przyjmuje się jako od X. Współrzędne przyjmuje się z
odpowiednich wzorów. Obliczone odcięte ‘x’ odmierza się od punktu S w obie strony, a
następnie na kierunkach prostopadłych rzędne ‘y’.
2.
Metoda biegunowa – musimy mieć dane: promień R i punkty P i K, oraz kierunek
stycznej. Przyjmuje się równą długość łuku Ł między punktami sąsiednimi i oblicza kąt
3.
4.
Metoda siecznych – angielska
Metoda wcięć kątowych
1 Metoda ortogonalna – dla dowolnego Li obliczamy: α i = Li /R
x = R sinα y = R (1-cosα)
2 Metoda biegunowa – dla dowolnego Li obliczamy: Φ = Li /2R oraz c = 2R sinΦ
Krzywe przejściowe stosuje się między łukiem kołowym i prostą w celu zniwelowania
niekorzystnego działania sił. Zmienia ona promień od  do R łuku kołowego. Punkty główne
kołowego R oraz wyznaczonej długości krzywej przejściowej L i wytycza się je w terenie.
Tyczenie punktów pośrednich klotoidy można przeprowadzić metodą biegunową oraz
metodą rzędnych i odciętych (wykonuje się na podstawie stycznej OW, obliczone x i y
odkłada się na stycznej otrzymując położenia punktów pośrednich). Tyczenie metodą
biegunową można przeprowadzić z punktu początkowego klotoidy lub z dowolnego punktu
na niej.. Klotoida charakteryzuje się tym, że jej krzywizna wzrasta proporcjonalnie do jej
długości.
Równanie klotoidy: R*L=a2
a - wsp. proporcjonalności klotoidy
R = 1/K
L = a2*K
Związki zachodzące między wielkościami L, R, a, τ: a2 = L*R = 2r*R2 = L2/2r
L = a2/R = 2r*R = a*√2r
R = a2/L = a / √2r = L/2r ; R2 = a2/2r
r = L/2R = a2/R2 = L2/2a2
Współrzędne prostokątne dowolnego ... zobacz całą notatkę



Komentarze użytkowników (0)

Zaloguj się, aby dodać komentarz