E-handel - współczesna forma handlu detalicznego

Nasza ocena:

5
Pobrań: 224
Wyświetleń: 945
Komentarze: 0
Notatek.pl

Pobierz ten dokument za darmo

Podgląd dokumentu
E-handel - współczesna forma handlu detalicznego - strona 1 E-handel - współczesna forma handlu detalicznego - strona 2 E-handel - współczesna forma handlu detalicznego - strona 3

Fragment notatki:


E-handel - współczesna forma handlu detalicznego E-business (biznes on-line, biznes elektroniczny) • jest pojęciem najszerszym,
• obejmuje wszelkie przejawy komercyjnego wykorzystania sieci, czyli 3 główne działy:
_ e-commerce (e-handel, handel elektroniczny),
_ usługi finansowe,
_ marketing on-line;
oraz szeroko pojętą komunikację firmy: intranet, praca zdalna, EDI (elektroniczną wymianę
dokumentów)
Segmenty e-handlu E-commerce ( handel on-line, handel elektroniczny) - to sprzedaż towarów i usług oraz informacji poprzez
Internet
_ Segment I - business-to-business (firma-firma, B2B)
_ Segment II - business-to-customer (firma-klient, B2C)
_ Segment III - customer-to-customer (klient-klient, C2C)
_ Segment IV - customer driven business (C2B).
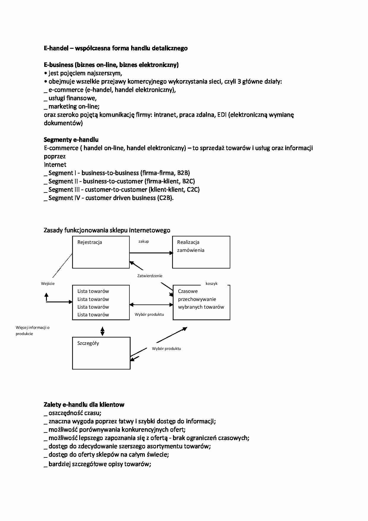
Zasady funkcjonowania sklepu internetowego
Zalety e-handlu dla klientow _ oszczędność czasu;
_ znaczna wygoda poprzez łatwy i szybki dostęp do informacji;
_ możliwość porównywania konkurencyjnych ofert;
_ możliwość lepszego zapoznania się z ofertą - brak ograniczeń czasowych;
_ dostęp do zdecydowanie szerszego asortymentu towarów;
_ dostęp do oferty sklepów na całym świecie;
_ bardziej szczegółowe opisy towarów;
_ klient wybierając określony towar może, przy pomocy zamieszczonych linków, przenieść się bezpośrednio na stronę
producenta tego towaru;
_ możliwość stałej kontroli wysokości kwoty, jaką wyda w sklepie poprzez koszyk;
_ niższe ceny (choć nie zawsze, zależy to od kilku czynników);
_ możliwość przeglądania oferty oraz obsługa klienta 24 godziny na dobę, 365 dni w roku;
_ pewne towary, które można otrzymać bezpośrednio przez sieć, jak na przykład oprogramowanie są znacznie korzystniejsze cenowo, gdyż pominięte zostają koszty transportu, czy opłat celnych;
_ możliwość wyszukiwania towarów według dowolnego zadanego kryterium, na przykład ceny, rodzaju;
_ nowe możliwości niedostępne w tradycyjnych sklepach, na przykład: przeczytanie recenzji książki w wirtualnej księgarni; Zalety e-handlu dla firm _ niski koszt, redukcja kosztów (głównie dotyczy dużych producentów),
_ oszczędności - ominięcie łańcucha pośredników, brak potrzeby utrzymywania punktów sprzedaży detalicznej, magazynów, zatrudniania personelu; eliminacja części dokumentów tradycyjnych i korzystanie z teleworkingu, niski koszt dotarcia do ogromnej liczby potencjalnych klientów; niski koszt reklamy i promocji;


(…)

…;
_ bardziej szczegółowe opisy towarów;
_ uatrakcyjnienie oferty poprzez organizowanie licytacji;
_ dostęp do nowych klientów;
_ przyspieszenie procesów biznesowych;
_ uzyskanie przewagi konkurencyjnej;
_ skrócenie czasu dostępu do rynku towarów i usług;
_ eliminacja negatywnego zjawiska sezonowości na rynku lokalnym; Zalety e-handlu dla firm-3
_ możliwości multimedialne, jakie daje sieć, pozwalają tej formie sprzedaży…
... zobacz całą notatkę



Komentarze użytkowników (0)

Zaloguj się, aby dodać komentarz