Cele konstruowania modeli - wykład

Nasza ocena:

3
Pobrań: 126
Wyświetleń: 952
Komentarze: 0
Notatek.pl

Pobierz ten dokument za darmo

Podgląd dokumentu
Cele konstruowania modeli - wykład - strona 1

Fragment notatki:

Cele konstruowania modeli. Etapy konstruowania modelu.
Cele konstruowania modeli:
poszukiwanie rozwiązań optymalnych, np. rozłożenia potoku ruchu
analiza i ocena wariantu wyposażenia techniczno-organizacyjnego systemu transportowego,
dobór do zgłaszanych potrzeb przewozowych najkorzystniejszego wyposażenia techniczno-organizacyjnego systemu
planowanie zmian wyposażenia techniczno-organizacyjnego systemu transportowego
harmonogramowanie przebiegu procesu transportowego przy realizacji określonych potrzeb przewozowych oraz przy ustalonym wyposażeniu techniczno-organizacyjnym systemu transportowego
sterowanie przebiegiem procesu transportowego, przy zadanym jego stanie początkowym, określonym wejściach i przyjętych kryteriach oceny jakości przebiegu procesu.
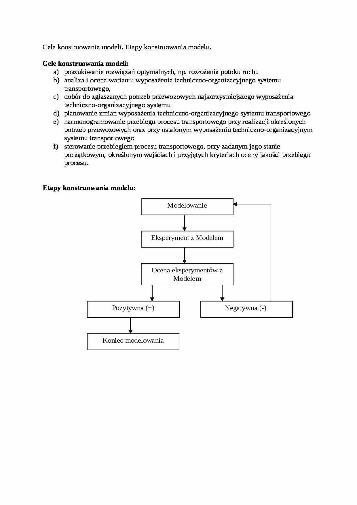
Etapy konstruowania modelu:
Pozytywna (+)
Negatywna (-) Koniec modelowania
Ocena eksperymentów z Modelem
Eksperyment z Modelem
Modelowanie
... zobacz całą notatkę



Komentarze użytkowników (0)

Zaloguj się, aby dodać komentarz