Cele i wyniki demografii

Nasza ocena:

3
Pobrań: 203
Wyświetleń: 2093
Komentarze: 0
Notatek.pl

Pobierz ten dokument za darmo

Podgląd dokumentu
Cele i wyniki demografii - strona 1 Cele i wyniki demografii - strona 2 Cele i wyniki demografii - strona 3

Fragment notatki:

DEMOGRAFIA
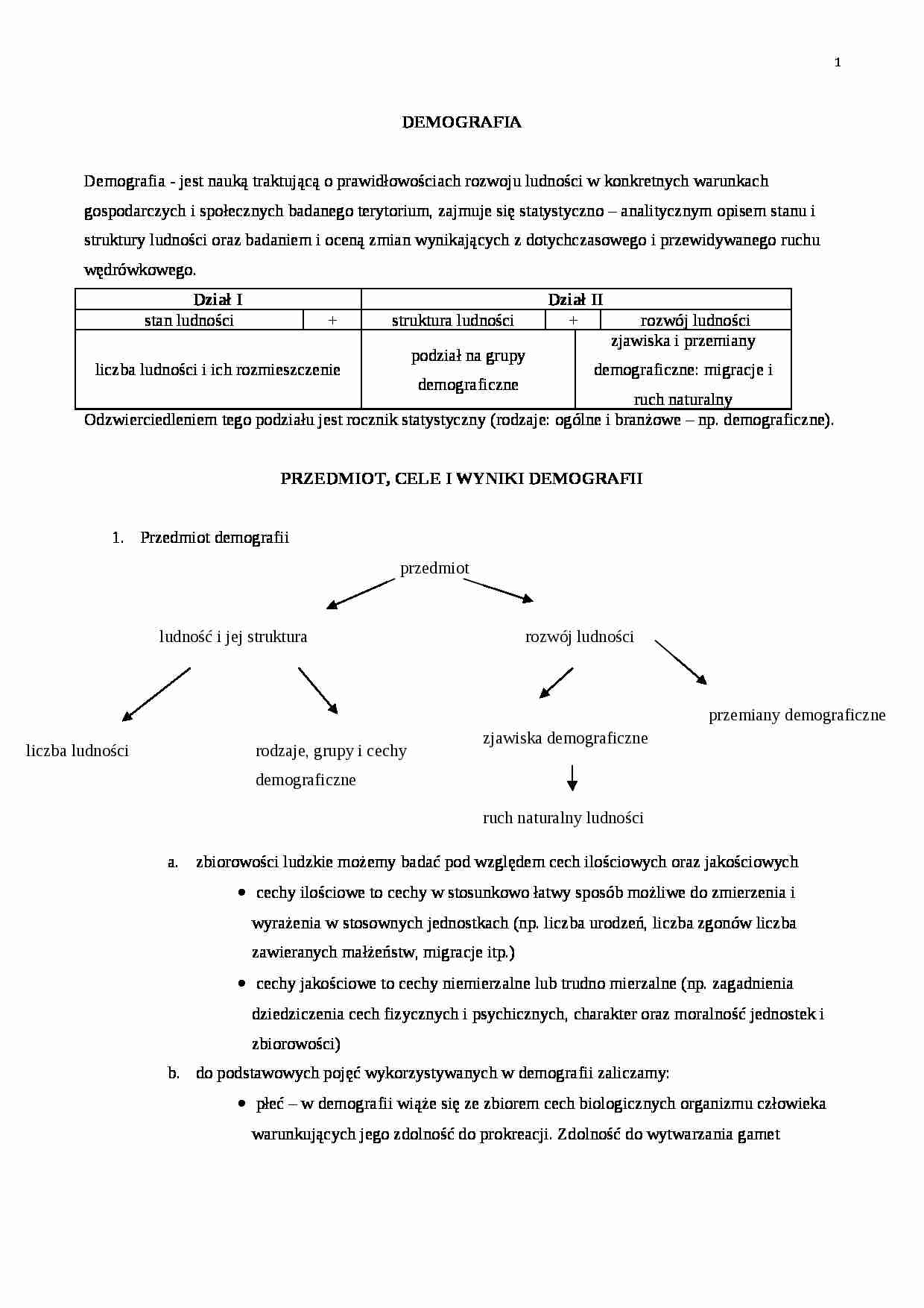
Demografia - jest nauką traktującą o prawidłowościach rozwoju ludności w konkretnych warunkach gospodarczych i społecznych badanego terytorium, zajmuje się statystyczno - analitycznym opisem stanu i struktury ludności oraz badaniem i oceną zmian wynikających z dotychczasowego i przewidywanego ruchu wędrówkowego.
Dział I
Dział II
stan ludności
+
struktura ludności
+
rozwój ludności
liczba ludności i ich rozmieszczenie
podział na grupy demograficzne
zjawiska i przemiany demograficzne: migracje i ruch naturalny
Odzwierciedleniem tego podziału jest rocznik statystyczny (rodzaje: ogólne i branżowe - np. demograficzne).
PRZEDMIOT, CELE I WYNIKI DEMOGRAFII
Przedmiot demografii
zbiorowości ludzkie możemy badać pod względem cech ilościowych oraz jakościowych
cechy ilościowe to cechy w stosunkowo łatwy sposób możliwe do zmierzenia i wyrażenia w stosownych jednostkach (np. liczba urodzeń, liczba zgonów liczba zawieranych małżeństw, migracje itp.)
cechy jakościowe to cechy niemierzalne lub trudno mierzalne (np. zagadnienia dziedziczenia cech fizycznych i psychicznych, charakter oraz moralność jednostek i zbiorowości)
do podstawowych pojęć wykorzystywanych w demografii zaliczamy:
płeć - w demografii wiąże się ze zbiorem cech biologicznych organizmu człowieka warunkujących jego zdolność do prokreacji. Zdolność do wytwarzania gamet żeńskich charakteryzuje kobiety, zdolność do wytwarzania gamet męskich zaś mężczyzn. wiek - oznacza czas, jaki upłynął od momentu porodu osobnika do momentu obserwacji, określa się go zwykle w ukończonych latach życia.
stan cywilny - jest cechą demograficzną różnicującą członków populacji dojrzałych do prokreacji, zwykle na podstawie kryteriów prawnych. Określa rodzaj związku, jaki łączy osobnika dorosłego danej płci z innym dorosłym osobnikiem płci przeciwnej.
przynależność do kohorty - jest cechą członków populacji, którzy doświadczyli określonego zdarzenia inicjującego proces ludnościowy w tej samej jednostce czasu, np. przynależność do kohorty urodzonych w 2006 roku oznacza, że członkowie tej kohorty urodzili się w 2006 roku (od 1 stycznia do 31 grudnia tego roku). (KOHORTA -  termin stosowany w statystyce i naukach stosujących ją (np. demografia, medycyna), oznaczający zbiór obiektów, najczęściej ludzi, wyodrębniony z populacji z uwagi na zachodzące jednocześnie dla całego zbioru wydarzenie lub proces, w celu przeprowadzenia analizy. Kohorta powinna być wyodrębniona na podstawie istotnych statystycznie cech i jednorodna pod ich względem. Badania z użyciem kohorty zwane są

(…)

… wywierają trzy inne procesy tj. rozrodczości, umieralności i migracji.
Podstawowe grupy demograficzne
Cechy demograficzne
Grupy demograficzne
Cechy w dowodzie osobistym
(kategorie, przy pomocy których je dzielimy)
(struktura ludności)
do 2001 roku
od 2001 do 2013 roku
Płeć
kobieta/mężczyzna
+
+
Wiek
(podział poniżej)
+
+
Stan cywilny
(podział poniżej)
+
-
Przynależność terytorialna
miasto/wieś
+
-
Wiek
0-6…
… ciąży, 3. czynniki prawno-administracyjne: • przepisy prawne regulujące przerywanie ciąży, • określony wiek dozwolony na zawieranie małżeństw. 4. czynniki szczególne: wojny, kataklizmy i kryzysy gospodarcze Powojenna faza kompensacyjna rzutuje na wzrost urodzeń tuż po wojnie. Odłożona w trakcie wojny prokreacja jest realizowana po zakończeniu działań wojennych. Ziemie odzyskane (zachodnie i północne) miały znaczny wpływ na małżeństwa i urodzenia w okresie powojennym. W powojennym wyżu demograficznym w latach 1946-1968 urodziło się ponad 11 mln. dzieci. Główny wyż demograficzny skoncentrował się na ziemiach zachodnich i północnych.
Przyrost możliwy dzięki `zielonej rewolucji' - na polach doświadczalnych nowe odmiany zboża - 3krotnie wzrosła wydajność z hektara. Dlatego dało się wyżywić większą…
... zobacz całą notatkę



Komentarze użytkowników (0)

Zaloguj się, aby dodać komentarz