Całki potrójne - ćwiczenia

Nasza ocena:

3
Pobrań: 168
Wyświetleń: 1162
Komentarze: 0
Notatek.pl

Pobierz ten dokument za darmo

Podgląd dokumentu
Całki potrójne - ćwiczenia - strona 1 Całki potrójne - ćwiczenia - strona 2 Całki potrójne - ćwiczenia - strona 3

Fragment notatki:

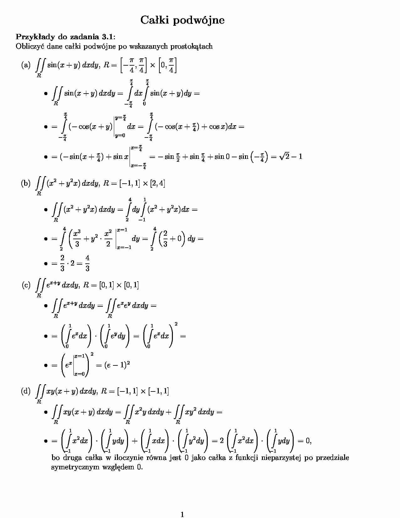
Całki podwójne
Przykłady do zadania 3.1:
Obliczyć dane całki podwójne po wskazanych prostokątach
π π
π
sin(x + y) dxdy, R = − ,
× 0,
4 4
4
(a)
R
π
4

sin(x + y) dxdy =
π
4
dx
−π
4
R
π
4
• =
sin(x + y)dy =
0
π
4
y= π
4
(− cos(x + y)
y=0
−π
4
(− cos(x + π ) + cos x)dx =
4
dx =
−π
4
x= π
4
• = (− sin(x +
π
)
4
= − sin π + sin π + sin 0 − sin − π =
2
4
4
+ sin x
x=− π
4

2−1
(x2 + y 2 x) dxdy, R = [−1, 1] × [2, 4]
(b)
R
4
2

2
dy (x2 + y 2 x)dx =
(x + y x) dxdy =
2
R
4
2
• =
−1
4
x=1
2
x3
2 x
+y ·
3
2
• =
1
2
+ 0 dy =
3
dy =
x=−1
2
2
4
·2=
3
3
ex+y dxdy, R = [0, 1] × [0, 1]
(c)
R
ex+y dxdy =

ex ey dxdy =
R
R
1

1
 

2
1

x
y
x
• =  e dx ·  e dy  =  e dx =
0
0
0

x=1
• = ex
2
 = (e − 1)2
x=0
xy(x + y) dxdy, R = [−1, 1] × [−1, 1]
(d)
R

x2 y dxdy +
xy(x + y) dxdy =
R
R

1
 
1

xy 2 dxdy =
R

1
 
1


1
 
1

• =  x2 dx ·  ydy  +  xdx ·  y 2 dy  = 2  x2 dx ·  ydy  = 0,
−1
−1
−1
−1
−1
−1
bo druga całka w iloczynie równa jest 0 jako całka z funkcji nieparzystej po przedziale
symetrycznym względem 0.
1
Przykłady do zadania 3.2:
Podane całki podwójne zamienić na całki iterowane i obliczyć. Narysować obszar całkowania.
(a)
D
1
dxdy, gdzie D = (x, y) : 0
(1 + x + y)2
• rysunek
x
x
2
2,
y
2x
4.5
y
4
3.5
3
2.5
y=2x
2
1.5
1
0.5
y=x/2
0
0
−0.5
−0.5
D
2
=
0
1
1.5
2x
2
x
2
2.5

y=2x
3
1
1
1
2

+
dx = − ln |1 + 3x| + ln 1 + x
3
1 + 3x 1 + 2 x
3
3
2
x=2
dy
=
(1 + x + y)2
dx
0
x
2
0

exy dxdy, gdzie D = (x, y) : 1
(b)
0.5
1
−
1+x+y
1
dxdy =
(1 + x + y)2

2
2
0
x
e, 0
y
D
• rysunek

 dx =
y= x
2
x=0
1
2
= − ln 7 + ln 4
3
3
1
x
1.5
y
1
y=1/x
0.5
0
1
−0.5
−0.5
1
x
e
xy

e dxdy =
D
xy
dx
1
e
e dy =
0
1
0

0.5
1
 exy
x
1
y= x
1.5
2
e

 dx =
y=0
x=e
= (e − 1) ln |x|
1
=e−1
x=1
2
e
y=0
1
2.5
x
3
1
1
e−
dx =
x
x
x dxdy, gdzie D = (x, y) : 0
(c)
x

y
1, 0
1 − x2 .
D
• rysunek
1.5
y
1
y=(1−x2)1/2
0.5
0
0
−0.5
−0.5

1

x dxdy =
dx
0
D
1−x2
0
1
xdy =
0

y=
1

y=0
=
y=1
x
1
1.5

1−x2
1

 dx =
y=0
0

0.5
xy
0
1 √
1 y 3/2
=−
ydy = − ·
2
2 3/2
1



x 1 − x2 dx = 

0
1
3
Przykłady do zadania 3.3:
Obszar D ograniczony jest krzywymi o podanych równaniach. Całke podwójną
f (x, y) dxdy
D
(gdzie f (x, y) jest ciągła na D) zamienić na dwa rodzaje całek iterowanych.
(a) x = 0, y = 1, y = x
• rysunek
1.5
1
0.5
y
y=1
1
x=0
y=x
0
0
−0.5
−0.5
1
0
0.5
• D to obszar normalny względem osi 0x, bo
D = {(x, y) : 0 x 1, x y 1}
1
• Stąd
f (x, y) dxdy =
1
dx
f (x, y)dy
x
0
D
• D to także obszar normalny względem osi 0y, bo
D = {(x, y) : 0 y 1, 0 x y}
y
1
• Stąd
f (x, y) dxdy =
D
dy
0
y = 1 − x2
dy = −2xdx
x 0 1
y 1 0
f (x, y)dx
0
3
1
x
1.5



=

(b) y = x2 , y =

x
2.5
y
2
• rysunek
1.5
1
1
1/2
y=x
0.5
y=x2
0
−0.5
−1.5
0
−1
−0.5
1
0 ... zobacz całą notatkę



Komentarze użytkowników (0)

Zaloguj się, aby dodać komentarz