Bioprocesy - test - czas opóźnienia zbiorników

Nasza ocena:

3
Pobrań: 35
Wyświetleń: 616
Komentarze: 0
Notatek.pl

Pobierz ten dokument za darmo

Podgląd dokumentu
Bioprocesy - test - czas opóźnienia zbiorników - strona 1 Bioprocesy - test - czas opóźnienia zbiorników - strona 2 Bioprocesy - test - czas opóźnienia zbiorników - strona 3

Fragment notatki:

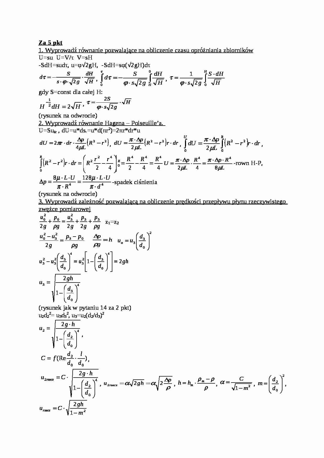
Za 5 pkt
1. Wyprowadź równanie pozwalające na obliczenie czasu opróżniania zbiorników
U=su U=V/τ V=sH
-SdH=sudτ, u=φ√2gH, -SdH=sφ(√2gH)dτ
, , gdy S=const dla całej H:
, (rysunek na odwrocie)
2. Wyprowadź równanie Hagena - Poiseuille'a. U=Suśr , dU=u*ds.=u*d(πr2)=2πr*dr*u
, , , -rown H-P, -spadek ciśnienia
(rysunek na odwrocie)
3. Wyprowadź zależność pozwalającą na obliczenie prędkości przepływu płynu rzeczywistego zwężce pomiarowej
z1=z2 (rysunek jak w pytaniu 14 za 2 pkt)
u2d22= u3d32, u3=u2(d2/d3)2 ,
,
, , , , , m-liczba przepływu
4. Wyprowadź zależność pozwalającą na wyznaczenie objętościowego natężenia przepływu w rotametrze.
5. Przedstaw, jak wyznacza się prędkość opadania cząstek ciała stałego w płynach i ich średnicę, gdy znamy współczynnik oporu ośrodka
wyznaczamy u0 , u0=f(λ)
1) Ruch laminarny
λ=24/Re, Re≤0,4 , , u0=f(d2)
gdy Re=0,4 to:
, a stąd:
, 2)Ruch przejściowy
λ=18,5/Re0,6 , u0=f(d1,14)
3)Ruch burzliwy
λ=0,44 Re≥103 , , u0=f(√d)
gdy Re=103 to:
6. Przedstaw, jak wyznacza się prędkość opadania cząstek ciała stałego w płynach i ich średnicę, gdy nie znamy współczynnika oporu ośrodka
, , korzystamy z wykresów lub z tabel: λ=f(Re), a następnie określa się zależność λ/Re=f(Re) i dla obliczonej wartości λ/Re znajduję się wartość Re i oblicza d: (wykres 1 na odwrocie) , , Korzystamy z wykresów lub z tabel: λ=f(Re), a następnie określa się zależność λ*Re2=f(Re) i dla obliczonej wartości λ*Re2 znajduję się wartość Re i oblicza u0: (wykres 2 na odwrocie)
7. Wyprowadź wzór pozwalający na obliczenie długości komory do odpylania gazów
τ1=H/u0, τ2=L/u, u=(U/Sk)-(U/BH) gdy τ1= τ2, H/u0=L/u=(L-Sk)/U=(LBH)/U
L=HU/uoSk B-szerokość komory, Sk- przekrój poprzeczny komory, H - wys. komory
Gdy w komorze powinny opaść cząstki o małych średnicach, to ich ruch jest uwarstwiony:
, -cząstki izometryczne
gdy ρs≥ρF to: - cząstki kuliste, , L=f(μF)
(rysunek na odwrocie)
8. Wyprowadź zależność umożliwiającą obliczenie najmniejszej średnicy cząstki, która powinna pozostać w danym cyklonie.
τ=L/u, L=2πRn, τ=2πRn/u - czas τ
... zobacz całą notatkę



Komentarze użytkowników (0)

Zaloguj się, aby dodać komentarz