analiza matematyczna zestaw 8 zadania

Nasza ocena:

5
Pobrań: 28
Wyświetleń: 1036
Komentarze: 0
Notatek.pl

Pobierz ten dokument za darmo

Podgląd dokumentu
analiza matematyczna  zestaw 8 zadania - strona 1 analiza matematyczna  zestaw 8 zadania - strona 2 analiza matematyczna  zestaw 8 zadania - strona 3

Fragment notatki:


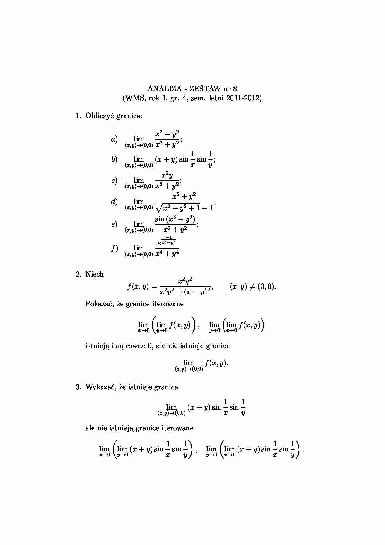
ANALIZA - ZESTAW nr 8 (WMS, rok 1, gr. 4, sem. letni 2011-2012) 1. Obliczyć granice: a) lim (x,y)→(0,0) x2 − y2 x2 + y2 ; b) lim (x,y)→(0,0) (x + y) sin 1 x sin 1 y ; c) lim (x,y)→(0,0) x2y x2 + y2 ; d) lim (x,y)→(0,0) x2 + y2 x2 + y2 + 1 − 1 ; e) lim (x,y)→(0,0) sin (x3 + y3) x2 + y2 ; f ) lim (x,y)→(0,0) e −1 x2+y2 x4 + y4 . 2. Niech f (x, y) = x2y2 x2y2 + (x − y)2 , (x, y) = (0, 0). Pokazać, że granice iterowane lim x→0 lim y→0 f (x, y) , lim y→0 lim x→0 f (x, y) istnieją i są rowne 0, ale nie istnieje granica lim (x,y)→(0,0) f (x, y). 3. Wykazać, że istnieje granica lim (x,y)→(0,0) (x + y) sin 1 x sin 1 y ale nie istnieją granice iterowane lim x→0 lim y→0 (x + y) sin 1 x sin 1 y , lim y→0 lim x→0 (x + y) sin 1 x sin 1 y . 4. Zbadać ciągłość nastepujących funkcji: a) f (x, y) = x2y2 x2+y2 dla (x, y) = (0, 0), 0 dla (x, y) = (0, 0); b) f (x, y) = x3y3 x2+y2 dla (x, y) = (0, 0), 0 dla (x, y) = (0, 0); c) f (x, y) = x4−y4 x2+y4 dla (x, y) = (0, 0), 0 dla (x, y) = (0, 0); d) f (x, y) = 1 x2+y2 dla (x, y) = (0, 0), 0 dla (x, y) = (0, 0); 5. Niech (Xi, di) (i = 1, . . . , n) będą przestrzeniami metrycznymi. W zbiorze X = X1 × . . . × Xn wprowadzamy metrykę d przyjmując, że dla x = (x1, . . . , xn) ∈ X, y = (y1, . . . , yn) ∈ X mamy d X(x, y) := max 1≤i≤n di(xi, yi). Niech następnie (Y, d Y) będzie przestrzenią metryczną. Załóżmy, że funkcje fi : Y → Xi (i = 1, . . . , n) są ciągłe na Y. Pokazać, że funkcja f (y) = (f1(y), . . . , fn(y)) jest ciągła na Y. 6. Niech (X, dX) oraz (Y, dY ) będą przestrzeniami metrycznymi oraz niech f : X → Y będzie daną funkcją. Załóżmy, że {Ut}t∈T jest fundamen- talnym układem otoczeń ustalonego punkty x0 ∈ X, zaś {Vs}s∈S jest fundamentalnym układem otoczeń punktu f (x0). Pokazać, że f jest ciągła w x0 ⇔ ∀s ∈ S∃t ∈ T : f (Ut) ⊂ Vs. 7. Obliczyć pochodne cząstkowe funckji z = z(x, y) określonych poniższymi wzorami: a) z = x2 y + y x , b) z = x √ y + y 3 √ x , c) z = ln x + x2 + y2 , d) z = e − x y , e) z = (1 + xy) y , f ) z = arcsin x2 − y2 x2 + y2 , g) z = x tan x2 y , h) z = exp x + y x − y , i) z = arctan x + y 1 − xy , j) z = xye sin(πxy), k) z = x sin

(…)


x2 +y 4
e) f (x, y) =
x4 +y 4
x2 +y 2
f ) f (x, y) =
x3 +y 3
x2 +y 2
(x, y) = (0, 0)
;
(x, y) = (0, 0)
dla
dla
0
dla
dla
dla
dla
0
0
(x, y) = (0, 0)
;
(x, y) = (0, 0)
dla
dla
0
(x, y) = (0, 0)
;
(x, y) = (0, 0)
(x, y) = (0, 0)
;
(x, y) = (0, 0)
11. Wyzanczyć różniczkę zupełną funkcji f : R2 → R danej wzorem
f (x, y) =
6

3x − 2y +
xy 3 −2y 3
x2 −4x+4+y 4
dla
dla
(x, y) = (2, 0)
(x, y) = (2, 0…
... zobacz całą notatkę



Komentarze użytkowników (0)

Zaloguj się, aby dodać komentarz